Profesionales de la Salud

Más vendido

¿Qué es la tdcs?

La estimulación transcraneal de corriente continua (tDCS) es una técnica de estimulación cerebral no invasiva (NIBS). Esta se basa en la aplicación controlada de una corriente eléctrica de baja intensidad, que vibra entre 1 y 2 miliamperios (mA), mediante la disposición de dos electrodos, uno anódico y otro catódico, en la superficie del cerebro. La (tDCS) es una terapia emergente en patologías neurológicas.

Evidencia científica de tDCS

Combined therapy of bilateral transcranial direct current stimulation and ocular occlusion improves visual function in adults with amblyopia, a randomized pilot study

Más información aquí

The effects of transcranial direct-current stimulation (tDCS) on pain intensity of patients with fibromyalgia: a systematic review and meta-analysis

Más información aquí

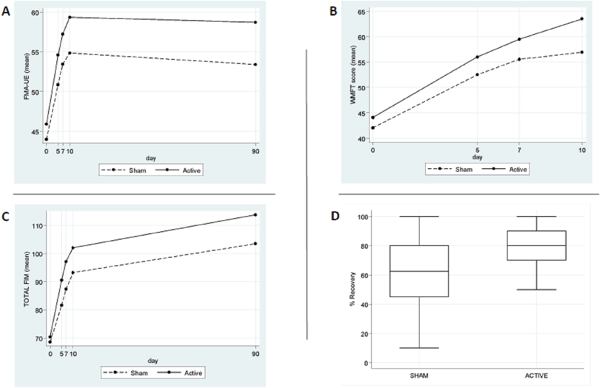
Early transcranial direct current stimulation with modified constraint-induced movement therapy for motor and functional upper limb recovery in hospitalized patients with stroke: A randomized, multicentre, double-blind, clinical trial.

Más información aquí

Nuestro compromiso con el bienestar de los pacientes

En Candel, nos dedicamos a brindar rehabilitación segura y de calidad, accesible para todos. Con tecnología médica de vanguardia, trabajamos incansablemente para desarrollar las innovaciones que mejorarán el futuro de la neurología, asegurando que cada paciente reciba el mejor cuidado posible.

¡Estamos en Mercado Público!

Somos la única empresa nacional que comercializa neuroestimuladores en Mercado Público, facilitando el acceso a tecnología avanzada para la rehabilitación neurológica.

NUESTROS

ESPECIALISTAS

Raúl Castillo

Médico de la Universidad de Chile. Candidato a PhD en Ingeniería Biomédica de la Universidad de California, Davis. Fundador y CEO.

Lucía Del Valle

Médico de la Universidad de Chile. Candidata a PhD en Ciencias Médicas y Especialista en Neurología de la Universidad de Chile. Cofundadora y CSO.

NUESTROS ASESORES

Prof. Dr. Nigel Pedersen

Neurólogo y Epileptólogo. Profesor Asociado y Director de Investigación, Departamento de Neurología, UC Davis. Asesor científico y Médico.

Prof. Dr. Rómulo Fuentes Flores

Mentor y Asesor Técnico-Científico. Director de Investigación de la Facultad de Medicina de la Universidad de Chile.

Prof. Dr. José Manuel Matamala

Neurólogo en Clínica Alemana - PhD en Ciencias Médicas. Asesor Científico y Médico.

crea una imagen de invvestigadores/neurologos

PARA INVESTIGADORES

En Candel Medical Company apoyamos el desarrollo de investigación clínica y científica en tecnologías de neuromodulación.

Nuestro Programa para Investigadores está orientado a facilitar el acceso a tecnología, ofrecer condiciones preferenciales y apoyar proyectos que busquen generar evidencia y avanzar en innovación en salud.

Si estás desarrollando una investigación o tienes un proyecto en etapa de planificación, nos interesa conocerte.

Contáctanos en: contacto@candelmed.cl

Asunto: Programa Investigadores